Pequim, Nova York e Estocolmo: deputados estaduais gastam mais de R$ 400 mil em tour internacional com dinheiro do povo
Amazonas – Enquanto escolas do interior do Amazonas enfrentam falta de merenda, e hospitais operam sem materiais básicos, os deputados estaduais vivem outra realidade: uma onde R$ 466.199,22 foram gastos em apenas sete meses com diárias e passagens. O dinheiro público bancou viagens nacionais e internacionais que, segundo os próprios parlamentares, foram para “cumprimento de agendas institucionais”.
Na prática, o que se viu foi um festival de destinos caros, hospedagens luxuosas e pouca ou nenhuma transparência sobre o real propósito das viagens.
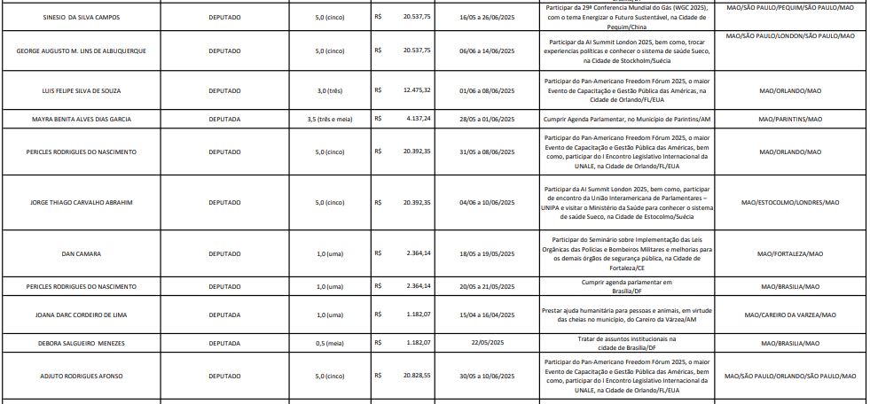
O campeão da temporada foi o deputado João Luiz (Republicanos), com um total de R$ 64.935,32 em diárias. Seus roteiros incluíram destinos como João Pessoa (PB), Belém (PA), Florianópolis (SC), Brasília (DF), e São Gabriel da Cachoeira (AM). Mas não parou por aí: ele também representou o estado em Orlando (EUA) e Pequim (China), por módicos R$ 21.601,76 e R$ 23.857,20, respectivamente.
Em segundo lugar, Delegado Péricles (PL) gastou R$ 52.308,24. Só a viagem para Orlando custou R$ 20.850,96. Já a passagem por São Paulo ficou em R$ 3.232,32.
Alessandra Campêlo (Podemos) ocupa a terceira posição, com R$ 46.236,98.
A parlamentar foi a Nova York (R$ 21.460,32) e Los Angeles (R$ 22.325,28) — valores que superam diárias pagas até mesmo por governos estaduais em missões diplomáticas.
Viagens internacionais foram feitas com frequência surpreendente. Só para Pequim, três deputados: João Luiz, Sinésio Campos e Adjuto Afonso, realizaram deslocamentos com diárias acima de R$ 20 mil cada.
O deputado Dr. George Lins (União Brasil), por exemplo, viajou para Estocolmo (Suécia) com passagens e diárias no valor de R$ 16.347,92, para participar do “World Bioenergy Congress”.
Já a deputada Dra. Débora Menezes (PL) gastou R$ 15.227,40 no mesmo evento. Ambos foram acompanhados por Thiago Abrahim (União Brasil), que também participou da viagem à Suécia, acumulando R$ 13.345,92.
Adjuto Afonso (União Brasil) ainda registrou uma viagem para São Paulo por R$ 11.820,70.
Os relatórios de viagem são, quando existem, superficiais e raramente especificam como a participação em congressos ou reuniões no exterior contribui para a população do Amazonas.
Em tese, todas as despesas seguem as regras da Casa Legislativa.
Mas a falta de critérios objetivos para a concessão das diárias e a ausência de prestação de contas detalhada alimentam suspeitas de uso abusivo dos recursos.
Entre os 24 parlamentares da ALEAM, apenas cinco não utilizaram nenhum valor em diárias ou passagens entre janeiro e julho de 2025:
-
Abdala Fraxe (Avante)
-
Cabo Maciel (PL)
-
Cristiano D’Ângelo (MDB)
-
Dra. Mayara Pinheiro (Republicanos)
-
Wanderley Monteiro (Avante)
Em um cenário de uso generalizado de recursos públicos para turismo legislativo, esses nomes destoam — para bem ou para mal.
O custo total da Assembleia Legislativa para os cofres públicos em 2024 ultrapassou os R$ 237 milhões.
Em janeiro de 2025, os deputados passaram 48 dias em recesso, custando R$ 1,99 milhão aos cofres públicos — mesmo sem sessões.
As viagens de 2025 somam a isso mais R$ 466 mil. É dinheiro suficiente para bancar pelo menos dez ambulâncias básicas, ou manter várias escolas com estrutura adequada durante o ano inteiro.
No entanto, a prioridade parece ser outra: passagens aéreas internacionais, diárias em dólar e carimbos no passaporte.
Veja documentos




